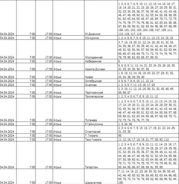
Адреслар исемлеген түбәндәрәк карагыз
4 апрель көнне Әгерҗедә яңадан планлы рәвештә электр энергиясен сүндерү көтелә. "Энергосбыт"та хәбәр итүләренчә, сүндерү планлаштырылган ремонт эшләре белән бәйле.
Хөрмәтле халык! Электр приборларын күзәтүсез калдырмагыз. Бу шулай ук электр энергиясен кулланмыйча диярлек "дежур режимда" эшли ала торган җайланмаларга да кагыла, әмма кайбер функцияләрне башкару өчен челтәргә тоташтырылган булып кала.
.png)
.png)