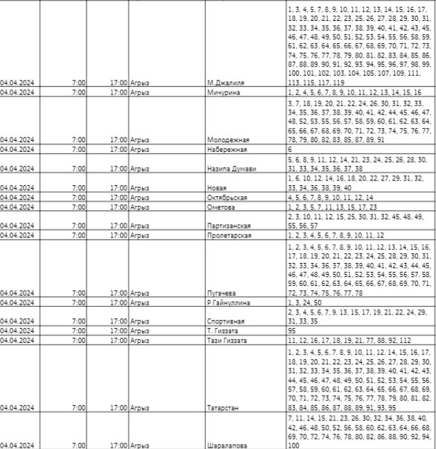
Список адресов смотрите ниже
4 апреля в Агрызе вновь ожидается плановое отключение электроэнергии. Как сообщили в "Энергосбыте", отключение связано с запланированными ремонтными работами.
Уважаемые жители! Не оставляйте электроприборы включенными без присмотра. Это касается также и устройств, которые могут функционировать в так называемом "дежурном режиме", практически не потребляя электроэнергии, но остаются подключенными к сети для выполнения некоторых своих функций.
.png)
.png)